稻飞虱防治新标杆——三氟苯嘧啶

作者:农博生物 2022/9/20 9:52:17
三氟苯嘧啶是美国杜邦公司于2011年12月22日提出PCT申请,在中国、欧洲和美国等国家和地区获得专利授权,开发代号DPX-RAB55的新型介离子杀虫剂。图1  三氟苯嘧啶的化学结构式示意图合成路线三氟苯嘧啶的合成路线主要有2条,均以N-(5-嘧啶基)甲基-2-吡啶胺、2-[3-(三氟甲基)苯基]丙二酸为关键中间体。路线1中N-(5-嘧啶基)甲基-2-吡啶胺以2-氨基吡啶为起始原料,经与

三氟苯嘧啶是美国杜邦公司于2011年12月22日提出PCT申请,在中国、欧洲和美国等国家和地区获得专利授权,开发代号DPX-RAB55的新型介离子杀虫剂。


图片

图1  三氟苯嘧啶的化学结构式示意图

合成路线

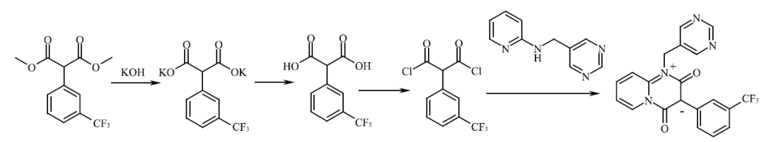
三氟苯嘧啶的合成路线主要有2条,均以N-(5-嘧啶基)甲基-2-吡啶胺、2-[3-(三氟甲基)苯基]丙二酸为关键中间体。

路线1中N-(5-嘧啶基)甲基-2-吡啶胺以2-氨基吡啶为起始原料,经与5-醛基嘧啶缩合,硼氢化钠还原制得,步骤繁琐。间三氟甲基碘苯与丙二酸二甲酯经偶联制得2-[3-(三氟甲基)苯基]丙二酸二甲酯,再经水解制得目标中间体2-[3-(三氟甲基)苯基]丙二酸。该中间体再通过大离去基团三氯苯酚的引入和脱去制备三氟苯嘧啶(见图2)。

图片
图2  合成路径1

路线2中N-(5-嘧啶基)甲基-2-吡啶胺和2-[3-(三氟甲基)苯基]丙二酸二甲酯的制备与路线1中方法相同。区别在于2-[3-(三氟甲基)苯基]丙二酸二甲酯经由取代的丙二酸二钾盐制得水解产物2-[3-(三氟甲基)苯基]丙二酸(见图3)。

图片
图3 合成路径2
登记情况

2016 年7 月29 日,美国杜邦公司的三氟苯嘧啶将在我国获得首登,包括杜邦开发的94%三氟苯嘧啶原药和10% 三氟苯嘧啶悬浮剂,这2种产品毒性很低,都是微毒。2017 年8 月21 日,陕西标正作物科学有限公司的23%溴酰·三氟苯悬浮剂、东莞市瑞德丰生物科技有限公司的11%阿维·三氟苯悬浮剂和深圳诺普信农化股份有限公司的19%氯虫·三氟苯悬浮剂,是国内企业首次登记3种三氟苯嘧啶产品。三氟苯嘧啶于2017年8月31日在中国获准正式登记。截止到2022年9月8日,我国登记的含有效成分三氟苯嘧啶的产品共计6个,其中5个制剂和1个原药,登记的制剂类型大多为悬浮剂,其中只有1个是水分散粒剂。

(http://www.chinapesticide.org.cn/hysj/index.jhtml)

图片

应用前景

三氟苯嘧啶属于新型嘧啶类化合物,是一种新型介离子类杀虫剂,作用于昆虫的烟碱乙酞胆碱受体(nAChR),但作用机理与新烟碱类杀虫剂不同,三氟苯嘧啶是通过竞争性结合 nAChR上的正构位结合,抑制该结合位点。减少昆虫的神经冲动或阻断神经传递,最终影响害虫取食、生殖等生理行为,导致死亡。


图片

三氟苯嘧啶内吸性良好,耐雨水冲刷,较同类产品持效期长,并且能与氯虫苯甲酰胺、溴氰虫酰胺、阿维菌素和甲氨基阿维菌素苯甲酸盐等进行混配,试验结果表明混配剂高效,对鳞翅目和同翅目害虫防效好,具有高效、安全、环境友好等特点。三氟苯嘧啶能促进水稻生长,具有良好的提质增产效果。该药剂登记作物主要是水稻,叶面喷雾防治水稻飞虱和叶蝉等。

作为第一个商业化的介离子嘧啶酮类杀虫剂,三氟苯嘧啶以其新颖的作用机理和对同翅目害虫的高防效、长持效性,对哺乳动物和有益生物的无影响或低毒性,对水稻等作物安全的突出特点而被高度关注。通过其与不同或相似作用机理的杀虫剂复配,可以扩大杀虫谱,发挥协同防除效果,减缓抗性风险。



相关推荐