川金象代表队斩获眉山市首届"1+3"主导产业职业技能大赛多项奖项

作者:川金象 2024/6/5 8:40:17
5月30日至31日,眉山市首届“1+3”主导产业职业技能大赛开赛。本次赛事由市人力资源和社会保障局主办,四川城市职业学院承办。市人力资源社会保障局党组书记、局长王绪出席开幕式并讲话。他强调:本次大赛以“弘扬工匠精神、建设技能眉山”为主题,发挥职业竞赛在高技能人才培养中的引领示范作用,以赛促训,不断提升眉山市“1+3”主导产业技能人才职业技能水平,支撑制造业高质量发展。同时希望各位参赛选手赛出成绩、

5月30日至31日,眉山市首届“1+3”主导产业职业技能大赛开赛。本次赛事由市人力资源和社会保障局主办,四川城市职业学院承办。

图片

市人力资源社会保障局党组书记、局长王绪出席开幕式并讲话。他强调:本次大赛以“弘扬工匠精神、建设技能眉山”为主题,发挥职业竞赛在高技能人才培养中的引领示范作用,以赛促训,不断提升眉山市“1+3”主导产业技能人才职业技能水平,支撑制造业高质量发展。同时希望各位参赛选手赛出成绩、赛出风格、赛出水平。

图片
图片
图片
图片
图片

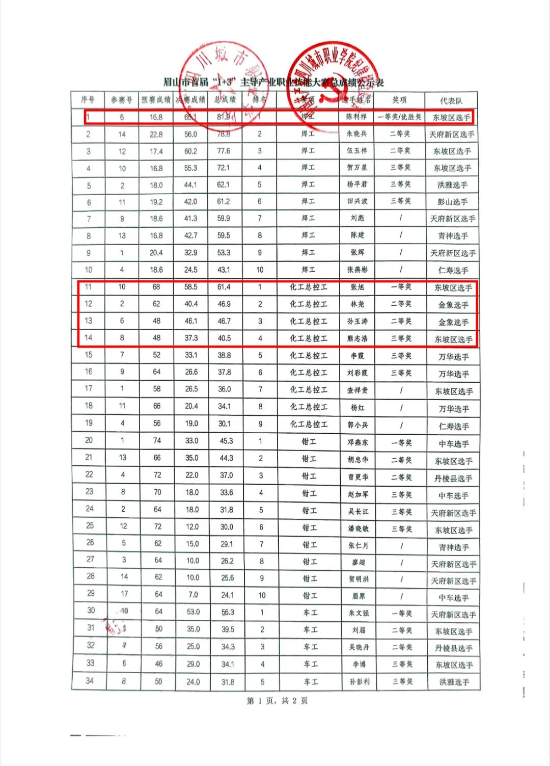
一百余名选手同台竞技,经过两天的紧张角逐,我公司共7名选手进入决赛。最终机电仪分公司陈利祥斩获焊工优胜奖,赢得5万元现金奖励,王绪局长对优胜奖选手进行了现场颁奖。其他进入决赛的我公司选手分别取得化工总控工一等奖1名、二等奖2名、三等奖1名,以及农产品食品检验员三等奖1名的好成绩。

图片
图片
图片

公司鼓励员工积极参加各类比赛,以赛促学、以赛促进,大力营造尊才重技的浓厚氛围,塑造“先锋引领、全员提升”的良好风气,为公司健康稳定发展提供优质的人才队伍支撑。

相关推荐