基于遥感的冬小麦产量与水肥利用效率分析

作者:绿水智慧农业 内容团队 2025/7/1 8:59:17
研究背景冬小麦是全球重要粮食作物,水肥管理对其产量和资源利用效率至关重要。传统水肥管理依赖经验,缺乏科学依据,易导致资源浪费或效率低下。无人机遥感技术为精准农业提供了新的监测手段,归一化差值植被指数 (NDVI) 是常见光谱特征中有效反映作物健康状况和生长活力的指标,但单一指标(如NDVI)在高密度植被下存在饱和问题,很难区分高密度作物之间的差异,仅依靠 NDVI 进行此类决策可能会导致误判和次优

图片


图片

研究背景

冬小麦是全球重要粮食作物,水肥管理对其产量和资源利用效率至关重要。传统水肥管理依赖经验,缺乏科学依据,易导致资源浪费或效率低下。无人机遥感技术为精准农业提供了新的监测手段,归一化差值植被指数 (NDVI) 是常见光谱特征中有效反映作物健康状况和生长活力的指标,但单一指标(如NDVI)在高密度植被下存在饱和问题,很难区分高密度作物之间的差异,仅依靠 NDVI 进行此类决策可能会导致误判和次优结果。为了解决这一限制,在这项研究中引入了 canopy Contrast,作为补充纹理特征。与其他纹理功能相比,Contrast 以其独特的功能而脱颖而出。与使用单一特征相比,光谱和纹理特征的组合具有显著的优势。这种综合方法可以更全面、更准确地评估作物生长情况,尤其是在不同的水和肥料管理策略下,作物生长的差异变得更加明显。使用这种方法,可以更精确地评估水和肥料管理对冬小麦反射率特性的影响,从而能够动态调整水和肥料管理策略。


图片

研究方法

在数据采集阶段,设计冬小麦不同水平水和肥处理的试验,并收集产量数据。在冬小麦生长阶段,使用配备多光谱传感器的无人机收集多光谱数据,数据预处理后使用 DJI Terra 软件生成正射影像。利用 ArcMap 和 ENVI 软件分别提取冬小麦的 NDVI 和 Contrast 作为遥感要素。在结果分析阶段,分析不同水肥处理对冬小麦产量的影响,并确定了水和肥料管理阈值。随后,评估不同处理对水肥利用效率的影响,以确定最佳管理策略。最后,分析冬小麦对不同处理的遥感响应,并根据这些特征评估了水肥管理策略。


图片

图1 研究技术路线


图片

研究结果

灌溉和氮肥施用水平对冬小麦产量有显著影响。在相同的氮素水平下,产量最初随着灌溉水平的提高而增加,然后逐渐稳定。W4 处理下小麦产量最高,与 W1 和 W2 处理相比分别增加了 16.23 % 和 6.47 %。在相同的灌溉水平下,产量随着氮水平的增加而增加,然后逐渐稳定。N4 处理下最高产量,与 N1 和 N2 处理相比分别增加了 46.88% 和 11.25%。进一步分析发现,冬小麦产量随着灌溉和氮含量的增加而逐渐增加。但当灌溉水平超过 120 毫米且氮水平超过 225 公斤/公顷时,产量不再明显增加,而是趋于稳定。因此,这种组合可以被认为是研究区冬小麦水肥管理的阈值。


图片

图2 不同水肥处理冬小麦产量


图片

图 3灌溉水平与氮肥施用水平和产量拟合


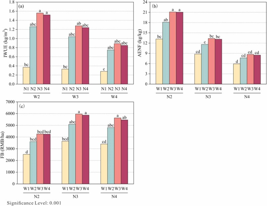
灌溉水平是决定 IWUE 的主要因素。在相同的氮处理下,IWUE 随着灌溉水平的增加而降低。W4 灌溉处理下 IWUE 最低。同时,IWUE 也受到氮水平的影响。在相同的灌溉处理下,IWUE 最初随着氮水平的升高而增加,然后趋于稳定。氮水平是决定 AENF 的主要因素。在相同的灌溉处理下,AENF 随着氮水平的增加而降低。AENF 也受到灌溉水平的影响。在相同的氮处理下,AENF 最初随着灌溉水平的升高而增加,然后趋于稳定。因此,适当提高灌溉水平可以增强冬小麦的水氮耦合效应,提高冬小麦氮素的吸收和利用。考虑到这些因素,N3W3 处理保持了高产率,同时还实现了高 IWUE、AENF 和最高的 FB。因此,N3W3 处理可以推荐为研究区域的最佳水和肥料管理策略。


图片

图4 不同水和肥料处理的 IWUE、AENF 和 FB


在低灌溉和低氮水平下,产量较低,NDVI 相对较低,而对比度相对较高。随着灌溉和氮水平的增加,产量逐渐提高,NDVI 稳步上升,而对比度下降。然而,当灌溉和氮水平达到一定阈值时,产量趋于稳定,NDVI 不再表现出显着变化。进一步分析表明,在相同的灌溉(氮)水平下,增加的氮(灌溉)水平通常会导致 IWUE (AENF) 呈上升趋势,伴随着 NDVI 的逐渐上升和对比度的降低。然而,当比较 N3W3 和 N4W4 处理时,观察到 IWUE 和 AENF 的差异。N3W3 的 IWUE 为1.28 kg/m³,AENF 为13.33 kg/kg,而 N4W4 的 IWUE 为0.85 kg/m³,AENF 为8.48 kg/kg。NDVI 达到饱和点,难以区分两种处理之间的差异,对比度值有效地反映了高植被覆盖度下冬小麦冠层结构的变化,N4W4 表现出比 N3W3 更好的冠层均匀性。然而,N4W4 中过多的资源投入导致 IWUE、AENF 和 FB 减少。这表明,在植被密度高或作物健康生长的条件下,仅依靠 NDVI 不足以准确评估产量和资源利用效率。NDVI 与 Contrast 相结合可提供更全面的信息,从而能够更精确地评估作物生长状况和资源利用效率。


图片

图5 不同水肥处理下NDVI和Contrast对产量和水肥利用效率的响应


图片

图6 N3W3 和 N4W4 的 RGB 图像和对比度图像


图片

研究结论

本研究通过冬小麦试验分析了不同水肥处理对冬小麦产量、水肥利用效率以及 NDVI 和 Contrast 响应模式的影响。主要结论如下:

1.随着灌溉和氮水平的增加,冬小麦产量先增加后趋于平稳。当灌溉量达到 120 毫米,施氮量为 225 公斤/公顷时,水和氮进一步增加不再对产量产生显著影响。

2.随着灌溉和氮素水平的增加,水肥利用效率逐渐降低,而水氮协同效应可以显著提高整体水氮利用效率。

3.NDVI 和 Contrast 与产量和水肥利用效率表现出很强的相关性。在相同的灌溉(施肥)条件下,随着施肥(灌溉)水平的增加,水肥利用效率逐渐提高,NDVI 增加,对比度降低。集成 NDVI 和对比度可以精确评估冬小麦生长和水肥利用效率,尤其是在植被密度高的区域。



参考文献

Weiguang Zhai, Qian Cheng, Fuyi Duan, Xiuqiao Huang, Zhen Chen. Remote sensing-based analysis of yield and water-fertilizer use efficiency in winter wheat management.

https://doi.org/10.1016/j.agwat.2025.109390.

相关推荐